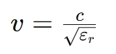
什么是介电常数?
工业自动化的发展,从过去的电气控制走向今天的信息驱动、数据协同和自主闭环控制,虽然“数字化”和“智能化”成了主旋律,但硬件世界并没有变得“虚幻”。反而,很多问题依然根源于物理层面的基本参数——只不过我们不关注它们了。
介电常数(Relative Permittivity)就是其中一个很典型的例子。

它不是决定算法速度的参数,也不在控制逻辑中频繁出现,但它却贯穿了自动化系统中的多个核心部位,从传感器、电容滤波、电缆绝缘、板级信号完整性、绝缘可靠性,到工业测量精度。如果我们用工程师的视角去梳理它对自动化的影响,会发现:这不是一个“冷门知识”,而是一个应该进入系统级思考的底层变量。
一、什么是介电常数,它为什么关键?
介电常数描述的是一种材料在电场作用下的极化能力,它决定了单位体积内存储的电能量及电场的衰减程度。简单来说,它影响三类基础工程行为:
- 电容行为:直接影响电容元件、耦合结构、滤波器性能;
- 电场分布:决定高频信号的传播速度、信号完整性;
- 电磁耦合:影响传感器灵敏度、电缆串扰、电场干扰路径;
- 介质响应:决定材料对外部状态变化(如湿度、压力)的检测灵敏度。
这些影响,在现代自动化系统中被分布式、隐性地体现在多个环节。与其说介电常数是一个参数,不如说它是电场世界中的操盘规则。

二、自动化硬件中的“隐形变量”:从滤波、电缆到绝缘
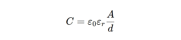
- 滤波与电容器性能
在驱动系统、电源转换、信号调理等电路中,电容器广泛用于滤波与耦合。其电容量与介电常数成正比,问题在于:不同类型电容器(如X7R、C0G、聚丙烯、聚酯)的εr随温度、频率的变化特性差异巨大。比如X7R电容在高温下容值可能衰减20%以上,而设计时常常忽略这一点,导致系统在热态下性能下降。
- 通讯信号完整性
现代自动化设备大量使用高速串行总线(如EtherCAT、Profinet、SerDes等),高速信号路径对PCB材料的介电常数敏感度极高。PCB板材(如FR-4、Rogers)选型必须兼顾εr的一致性和频率稳定性,否则信号反射、延迟不匹配将显著提升误码率。
- 高压系统中的绝缘分布
在中高压变频器、工控电源、轨道交通电机控制中,介电常数决定了绝缘层的电场均匀性。设计中若未控制εr梯度,局部电场集中容易引起“局部放电”(partial discharge),成为设备早期失效的重要诱因。
二、在自动化应用中的关键影响点有哪些?
1. 电容元件与滤波性能
在工业自动化设备中,大量使用电容器来完成滤波、隔离、耦合等功能。介电常数直接影响电容值:

更关键的是,很多电容器(尤其是MLCC、薄膜类)在不同温度、频率下εr并不稳定。例如,Class II陶瓷电容(如X7R、Y5V)其容值随温度变化大,适合一般滤波;但在高速驱动、电源模块中,如果使用这种电容做主滤波,电容漂移会导致纹波变大,引起振荡。
工程误区:部分低成本系统为了压缩尺寸选用高εr材料,却忽略了其电性能随温度、老化变化较大,反而损害了长期稳定性。
2. 工业通讯信号完整性
以太网、电机编码器反馈、高速ADC信号等系统中,板间或电缆布线的信号完整性受介质材料的介电常数直接影响:
- 信号传播速度:

- 反射与阻抗匹配:材料不均会引起阻抗变化 → 反射
- 串扰与电容耦合:εr越大,寄生电容越大,串扰可能增强
高速系统布线必须控制PCB基板材料的介电常数均匀性(如FR-4、Rogers材料),特别是在>100MHz的驱动器控制板、FPGA+ADC采集板、工业相机板中尤为关键。
3. 绝缘设计与高压隔离
在中压(6kV以上)系统中,如变频器、轨交牵引系统、电网接口设备中,绝缘层的设计不仅仅考虑介电强度(Breakdown strength),也要考虑εr对局部电场分布的影响。
例如在电容器、母排间隙、封装填料中:
- εr过高,可能引起边缘电场集中 → 提高局部击穿风险
- εr过低,则系统体积难以缩小 → 降低功率密度
材料如环氧树脂、硅橡胶、聚酰亚胺等,往往通过掺杂纳米颗粒(如SiO₂、Al₂O₃)调整介电常数,使其在满足绝缘强度的同时控制电场均匀性,提升系统寿命。
三、传感器里的“体感体察”——五大测量范畴
传感器是自动化的“感官”,而介电常数则是这些感官工作的“光速钥匙”。我们分五大类来看它如何低调发力:
- 液位测量
雷达液位计天线靠微波对水(εr≈80)与空气(εr≈1)的介电常数反射差异来判液位。但一旦工况不纯——泡沫层、混合浆液、乳化油水——介电并非二值跳变,而是模糊区域,数据就失去“分水岭”。应对办法多是:多种液位测量原理结合、空罐/满罐动态校准,而不是盲目加粗天线。
- 料位测量
粉料、颗粒料的介电常数取决于堆密度、含水率和粒径分布。挂壁会让接触式探头一直“以为有料”,松散状态又可能忽略真实堆层。工程上经常加入基于振动或超声的双模态切换,但真正能稳的,还是把介电建 模做在算法里,而非只拼硬件。
- 流量测量
对于非导电液体(如硅油、液化气),电磁流量计束手无策。电容阵列法和介电相移法折中地利用介电随流体通过的瞬时分布变化来估算流速,具备漏斗型微流或脉冲注射场景下的应用潜力。但稳定性和标定成本,仍是拦路虎。
- 湿度测量
湿度传感几乎是介电最常见的用例:多孔介质吸水后 εr 飙升,电容值一路走高。在仓储、空调、烘干等场景,应用成熟。但要想“更精准”,必须补偿温度、气压,甚至用频谱点分离自由水与结合水,而不是把它当成一个单一线性量。
四、真正的工程师,要敢于“深入物理层”搞设计
今天很多系统崩盘的问题,说白了是设计工程师“只想搭积木,不愿钻物理”。只会看元器件参数,不懂材料背后的电场响应,这种“只懂硬件皮毛”的状态,在现代高频、高精、高速的系统中,迟早会吃亏。
未来的工程设计趋势是:物理层信息和算法协同。
介电常数,可能是其中最被低估、却最该重视的变量。
它将推动三个方向的跃迁:
- 材料可调化:用多组份复合材料控制介电常数,实现器件微型化+性能稳定。
- 检测智能化:将介电响应与多变量(温度、湿度、浓度)建模,形成“物理级AI模型”。
- 设计物理化:未来工程师不仅看元器件图纸,更需要会读介电谱、布电场。
换句话说,从某种角度上说,介电常数是工业智能的最深地基。
结语:硬件扎实才是“数字”坚实的底座
介电常数不是一个容易“卖点化”的词,也不会在营销稿中频繁出现。但越是这种“被忽视的物理量”,在系统的稳定性和性能极限上,越具有决定性。
在工业自动化越来越倚重复杂控制逻辑和通信系统的今天,重新认识并设计好底层物理行为,是未来工程竞争的关键之一。介电常数,或许只是其中一个切入点。
但从它开始,工业系统才能建立在真正稳定、精准、可靠的物理基础之上。
